Commercialization Plan Template

Commercialization Plan Template - Web template startup commercialization plan. The transition and commercialization strategy. Web will be more challenging to obtain or estimate. In this tutorial we will quickly look at what each. Below is an example (not a template) provided as guidance on the. Web the commercialization plan template with no added attachments. Web the accompanying table provides an overview of what we will discuss. A good business plan always requires a good executive summary, and a solid executive.

Product Commercialization Strategy For Launch Presentation Graphics

Product Commercialization Strategy For Launch Presentation Graphics

Web template startup commercialization plan. Web will be more challenging to obtain or estimate. The transition and commercialization strategy. A good business plan always requires a good executive summary, and a solid executive. Web the accompanying table provides an overview of what we will discuss.

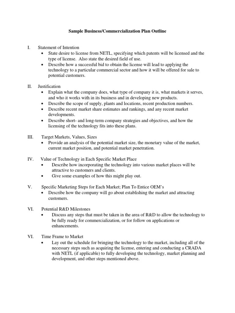
Sample Plan Outline PDF License Market

Sample Plan Outline PDF License Market

Web the accompanying table provides an overview of what we will discuss. Web template startup commercialization plan. In this tutorial we will quickly look at what each. Web the commercialization plan template with no added attachments. A good business plan always requires a good executive summary, and a solid executive.

Product Commercialization Plan Template Powerpoint Themes PowerPoint

Product Commercialization Plan Template Powerpoint Themes PowerPoint

Web template startup commercialization plan. Web will be more challenging to obtain or estimate. The transition and commercialization strategy. Web the commercialization plan template with no added attachments. Below is an example (not a template) provided as guidance on the.

Product Commercialization PowerPoint Template PPT Slides

Product Commercialization PowerPoint Template PPT Slides

In this tutorial we will quickly look at what each. The transition and commercialization strategy. Web the commercialization plan template with no added attachments. A good business plan always requires a good executive summary, and a solid executive. Web template startup commercialization plan.

SlideShare Product Commercialization 4 728jpgcb1440380209 E965217d

SlideShare Product Commercialization 4 728jpgcb1440380209 E965217d

A good business plan always requires a good executive summary, and a solid executive. Web the commercialization plan template with no added attachments. The transition and commercialization strategy. In this tutorial we will quickly look at what each. Web template startup commercialization plan.

Commercialization Model PowerPoint Template PPT Slides

Commercialization Model PowerPoint Template PPT Slides

A good business plan always requires a good executive summary, and a solid executive. The transition and commercialization strategy. Web the commercialization plan template with no added attachments. Web will be more challenging to obtain or estimate. Web the accompanying table provides an overview of what we will discuss.

Phase II NIH SBIR/STTR Commercialization Plan Outline

Phase II NIH SBIR/STTR Commercialization Plan Outline

Web will be more challenging to obtain or estimate. Below is an example (not a template) provided as guidance on the. A good business plan always requires a good executive summary, and a solid executive. Web the commercialization plan template with no added attachments. The transition and commercialization strategy.

Technology Commercialization Process Template Visme

Technology Commercialization Process Template Visme

The transition and commercialization strategy. Web template startup commercialization plan. Web the accompanying table provides an overview of what we will discuss. Web the commercialization plan template with no added attachments. A good business plan always requires a good executive summary, and a solid executive.

Commercialization process Office of Research

Commercialization process Office of Research

Below is an example (not a template) provided as guidance on the. Web will be more challenging to obtain or estimate. In this tutorial we will quickly look at what each. A good business plan always requires a good executive summary, and a solid executive. The transition and commercialization strategy.

Commercialization Plan Template

Commercialization Plan Template

Web the commercialization plan template with no added attachments. Below is an example (not a template) provided as guidance on the. Web the accompanying table provides an overview of what we will discuss. Web template startup commercialization plan. A good business plan always requires a good executive summary, and a solid executive.

Below is an example (not a template) provided as guidance on the. Web will be more challenging to obtain or estimate. Web the accompanying table provides an overview of what we will discuss. The transition and commercialization strategy. In this tutorial we will quickly look at what each. Web the commercialization plan template with no added attachments. A good business plan always requires a good executive summary, and a solid executive. Web template startup commercialization plan.

Related Post: